Função matemática:

8 respostas
functionmatemática
L

Olá amigos, tudo certo?
Bom, comigo não muito, não faço ideia de como começar a fazer esse código, alguém me poderia me ajudar?
Ficarei muito grato!!!

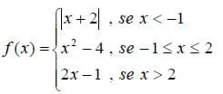
Crie uma função capaz de calcular o resultado para a função
matemática abaixo (a função deve receber “x” e retornar a resposta ):

image

8 Respostas

peczenyj

Vamos la: vc consegue fazer um simples if / else if / else?

staroski
if (x < -1) {
    // Retorna uma coisa
} else if (-1 <= x && x <= 2) {
    // Retorna outra coisa
} else {
    // Retorna outra coisa
}
M

Ou eu não estou a entender o seu raciocionio, ou entao você nao entendeu o que realmente é suposto fazer

L

Retorna o que

lvbarbosa

Antes de programar, você sabe como funciona uma função condicional (como essa do exercício)?

L

Sei sim, porem nao entendi a proposta do exercicio…

lvbarbosa

Você tem que criar essa função em código. A função vai receber um valor x e retornar o que essa função descrita no exercício retornaria.

Como você resolveria essa função no papel, dado um valor x? O @staroski deu a resposta do corpo da função que faz a checagem. Você só precisa fazer a conta certa para cada caso.

staroski

Creio que a proposta do exercício é você informar um valor para x e exibir o resultado de f(x).

Criado 20 de outubro de 2018
Ultima resposta 22 de out. de 2018
Respostas 8
Participantes 5