eu queria saber como fazer uma função RECURSIVA em Java que retorne o valor do somatório da seguinte série, dado como parâmetro de entrada um valor qualquer inteiro n, onde (n>1):
[size=18]1/1 - 2/4 + 3/9 - 4/16 + 5/25 - …n/n2;[/size]
Funcao recursiva[ajuda][RESOLVIDASSO]
6 Respostas
Seu enunciado está difícil de entender. Acho que você cometeu alguns erros na hora de copiar ou de explicar, mas pelo o que eu entendi, pode-se aplicar algo assim.
Vamos chamar a função recursiva de “foo”.
Imagine o seguinte:foo(2) = 1/1 + 2/2^2
foo(3) = 1/1 + 2/2^2 + 3/3^2
foo(4) = 1/1 + 2/2^2 + 3/3^2 + 4/4^2
foo(5) = 1/1 + 2/2^2 + 3/3^2 + 4/4^2 + 5/5^2
...Substituindo:foo(2) = 1/1 + 2/2^2
foo(3) = foo(2) + 3/3^2
foo(4) = foo(3) + 4/4^2
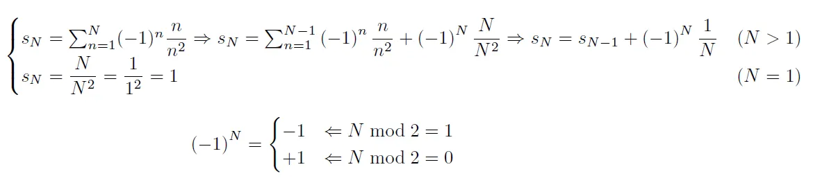
foo(5) = foo(4) + 5/5^2Sendo assim, a função recursiva é dada por:foo(n) = 1/1 + n/n^2, se n = 2
foo(n) = foo(n-1) + n/n^2, se n > 2É claro, 1/1 pode ser substituido por 1.
Agora falta vc traduzir isso para a linguagem que você está usando.
Acho que o valor 1 faz parte do seu domínio, apesar de você ter falado que a função existe apenas para n > 1…
Se fizer, a função será dada por:foo(n) = n/n^2, se n = 1
foo(n) = foo(n-1) + n/n^2, se n > 1
vlw kra vou tentar aqui depois te repasso
davi13d nesse caso, você vai ter que decrementar o parâmetro até que o valor seja zerado, estou no serviço agora, não deu para testar o método, mas ficaria algo assim:
public int somatorio(int n){
if(n%2==0)
return n/n^2 + somatorio(n-1);
else
return n/n^2 - somatorio(n-1);
}
Espero ter ajudado.
eu ja consegui jaja passo o codigo vlw a todossssss
Agora que vi os sinais de menos. Pensei que eram somente adições 
